Dengan perbedaan ini maka penambahan kapasitor tidak diperlukan. Medan putar ini terjadi apabila kumparan stator dihubungkan dalam fasa banyak umumnya fasa 3.
Prinsip Kerja Motor Induksi 3 Fasa
Motor induksi tiga fasa memiliki dua komponen dasar yaitu stator dan rotor bagian rotor dipisahkan dengan bagian stator oleh celah udara yang sempit air gap.
Gambar motor induksi 3 fasa. Arus arus ini akan menghasilkan ggm gaya gerak magnet yang mana pada kumparan akan menghasilkan fluks magnetik yang berputar sehingga disebut juga dengan medan putar. Pada gambar di atas arus 3 phase memiliki perbedaan phase 60 derajat antar phasenya. Gambar 31 motor induksi 3 fasa.
Dalam artikel ini hanya akan dijelaskan mengenai motor induksi 3 fasa namun untuk prinsip kerjanya sendiri kedua jenis motor induksi tersebut memiliki prinsip kerja yang sama. Dengan perbedaan ini maka penambahan kapasitor tidak diperlukan. Medan putar motor induksi 3 fasa.
Ada beberapa jenis motor listrik yang harus dikenal mulai dari motor listrik 1 fasa sampai dengan 3 fasa. Medan putar motor induksi 3 fasa sumber 3 fasa yang di hubungkan ke terminal motor induksi 3 fasa maka arus bolak balik sinusoidal ir is it akan mengalir pada belitan statorarus arus ini akan menghasilkan ggm gaya gerak magnet yang mana pada kumparan akan menghasilkan fluks magnetik yang berputar sehingga disebut juga dengan medan putar. Pinsip kerja motor induksi tiga fasa perputaran motor pada mesin arus bolak balik ditimbulkan oleh adanya medan putar fluks yang berputar yang dihasilkan dalam kumparan statornya.
Berdasarkan suplai input yang digunakan terdapat 2 jenis motor induksi yaitu motor induksi 1 fasa dan motor induksi 3 fasa. Konstruksi motor listrik 3 fasa motor induksi tiga fasa memiliki dua komponen dasar yaitu stator dan rotor bagian rotor dipisahkan dengan bagian stator oleh celah udara yang sempit air gap. Konstruksi motor listrik 3 fasa.
Gambar hubungan star delta jika anda ingin membeli motor listrik 3 fasa khususnya motor induksi maka ada beberapa hal yang perlu anda perhatikan. 62 gambar 32 penerapan motor induksi di dunia industri data data motor induksi mengenai daya tegangan dan data lain yang berhubungan dengan kerja motor induksi dibuatkan pada plat nama name plate motor induksi. Sumber 3 fasa yang di hubungkan ke terminal motor induksi 3 fasa maka arus bolak balik sinusoidal ir is it akan mengalir pada belitan stator.
Pada gambar di atas arus 3 phase memiliki perbedaan phase 60 derajat antar phasenya. Motor induksi jenis ini mempunyai motor dengan kumparan yang terdiri atas beberapa batang konduktor yang disusun sedemikian rupa hingga mempunyai sangkar tupai lihat gambar 34 konstruksi rotor seperti ini sangat sederhana bila dibandingkan dengan rotor mesin listrik lainnya. Dengan demikian harganya pun murah kama konstruksinya yang demikian padanya tidak nankin diberikan pengaturan.
Hubungan dapat berupa hubungan bintang atau delta. Salah satu diantaranya adalah berkaitan dengan cara menjalankan motor listrik tersebut. Pengertian motor listrik 3 fasa dan prinsip kerjanya seperti yang telah kita ketahui bersama bahwa dalam dunia elektronika dan kelistrikan kita mengenal yang namanya motor listrik.
Elektrik Bank Motor Induksi Tiga Fasa
Dunia Elektro Konstruksi Motor Listrik 3 Fasa
Jual Motor Induksi 3 Phase 45 Kw 60 Hp Abb Kab Tangerang
Defenisi Dan Pengaturan Kecepatan Motor Induksi Tiga Fasa
Motor Listrik 3 Fasa Motor Ac 3 Phase Afiq Rakhmat Alwi
Teori Dasar Motor Listrik 3 Fasa Info Elektro
Sekedar Berbagi Ilmu Dasar Dasar Motor Induksi 3 Phasa
Pengertian Motor Listrik 3 Fasa Dan Prinsip Kerjanya
Http Eprints Polsri Ac Id 376 3 3 20bab 20ii Pdf
Induksi Ac 3 Phase Harga 1 Hp Motor Listrik Buy Harga 1 Hp Motor
Kontruksi Motor Induksi Tiga Phasa Tn Elektro
Motor Induksi Tiga Phasa Ppt Download
Prinsip Kerja Motor Induksi 1 Fasa
Motor Induksi 3 Fasa Find Your Mini Project For Hobbies
Pengaturan Kecepatan Motor Induksi 3 Fasa Menggunakan Power
Seri Ye2 High Efficiency Motor Induksi Tiga Tahap Untuk Pemasok
Komponen Utama Motor Fasa Terpisah Dua Bagian Utama Blog Cv
Deskripsi Konstruksi Motor Induksi Tiga Fasa Pendidikan Dan Ilmu
50kw Motor Induksi Tiga Fasa 3 Fasa Motor Asinkron Rpm 3000 Untuk
Motor Induksi 3 Fasa Listrik Dengan Bantalan Nsk Dan B5 Foot Mountiing
Seri Y2 3 Phase Ac Motor Induksi Listrik Buy 3 Phase Ac Motor Ac
Cara Kerja Motor Induksi Tiga Fasa
Ppt Motor Induksi Tiga Phasa Powerpoint Presentation Free
Teknik Listrik Motor Induksi Tiga Fasa
Pdf Motor Induksi 3 Phasa Nounna Dhilaa Academia Edu
Jual Produk Motor Induksi 3 Phase Murah Dan Terlengkap April 2020
Pdf Satu Metode Dalam Mengoperasikan Motor Induksi 3 Fasa Rotor
3 1 Starting Motor Sebagai Penggerak Mesin
3 Fase Ac Motor Motor Induksi Tiga Fasa Squirrel Kandang Rotor
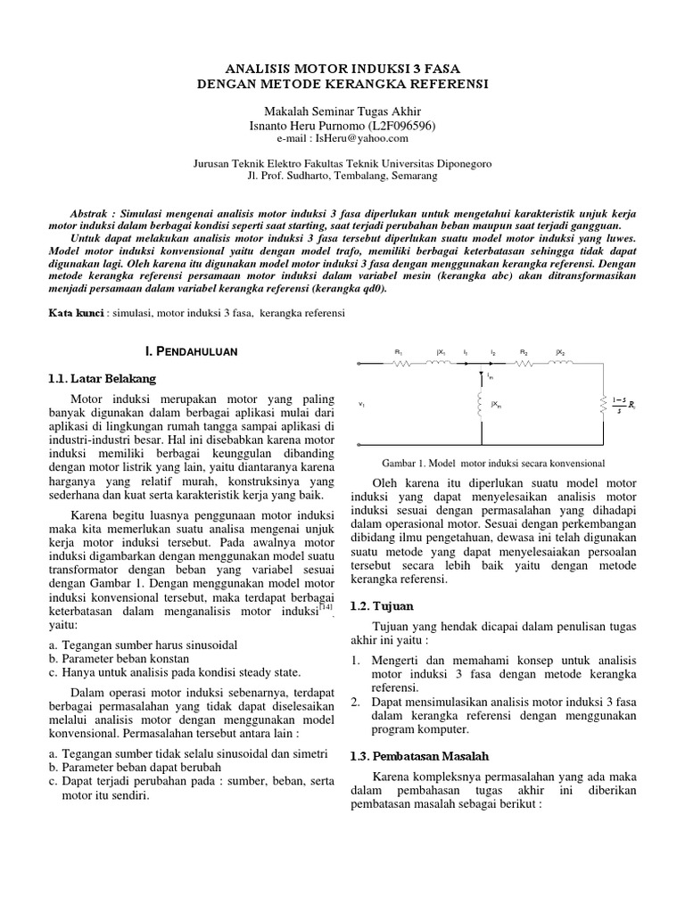
6 Bab Ii Motor Induksi 3 Fasa 2 1 Umum Motor Listrik
Rangkaian Motor Induksi 3 Fasa Dengan 2 Arah Putara Youtube
Pdf Pengembangan Sistem Pengoperasian Motor Induksi 3 Fasa
Rangkaian Ekivalen Motor Induksi 3
Dasar Motor Induksi Ac 3 Fasa Dan Pengendaliannya Menggunakan
Http Staff Ui Ac Id System Files Users Chairul Hudaya Material Presentationinductionmotor Pdf
3hp Listrik Motor Induksi 3 Fasa 4 Tiang 1400rpm Ico 141 Metode
Doc Bab Iii Motor Induksi 3 1 Pengenalan Motor Induksi Iqbal
Jenis Flange 3 Fase 0 75kw Listrik Ac Motor Induksi Dengan
Analisis Motor Induksi 3 Fasa Dengan Metode Kerangka
Rewinding Motor Induksi 3 Fasa Jenis Imc Induction Motor Cage Di
Pdf Sistem Pengaturan Kecepatan Motor Induksi Tiga Fasa
Http Staff Ui Ac Id System Files Users Chairul Hudaya Material Presentationinductionmotor Pdf
Rangkaian Ekivalen Motor Induksi 3
Catatan Kuliah Motor Induksi 3 Fasa Bagian 3
Rangkaian Pengasutan Starting Dol Direct Online Motor Induksi
Bagaimana Cara Kerja Induksi Motor Youtube
Motor Induksi Tiga Phasa Ppt Download
Motor Induksi 3 Fasa Dunia Listrik Blog
Motor Ac Prinsip Dasar Elektronika Untuk Teknik Perminyakan
Motor Induksi Tiga Fasa Dengan Inverter Svpwm Sebagai
4 Motor Induksi 3 Phase Baru 1 Pdf Document
Mesin Dc Mesin Ac Dan Motor Induksi Mesin Dc Mesin Ac Dan
3 Fase Ac Motor Motor Induksi Tiga Fasa Squirrel Kandang Rotor
Pdf Model Rangkaian Ekivalen Motor Induksi 3 Fasa Saat Beroperasi
Doc Hubungan Star Dan Delta Pada Motor Induksi Tiga Fasa
Motor Induksi Rotor Sangkar 3 Fasa Kajianpustaka Com
Rangkaian Bintang Star Delta Y Motor Induksi Tiga Fasa
Catatan Kuliah Motor Induksi Tiga Fasa Bagian 1
Teori Dasar Motor Induksi Tiga Fasa Pdf Document
Http Repository Usu Ac Id Bitstream 123456789 22338 3 Chapter 20i
Pengaturan Kecepatan Motor Induksi Tiga Fasa Dengan Variabel
Simulasi Karakteristik Motor Induksi Tiga Fase Menggunakan
Http Eprints Polsri Ac Id 377 3 3 20bab 20ii Pdf
Motor Induksi 3 Fasa Ppt Download
Rangkaian Pengasutan Starting Bintang Segitiga Star Delta
Rangkaian Rangkaian Dasar Pengendali Pengendali Motor Induksi
Kelebihan Dan Kekurangan Motor Induksi Tiga Fasa Pendidikan Dan
Squirrel Cage Motor Untuk Dijual Motor Induksi Tiga Fase
4hp Ac 3 Fasa 4 Motor Induksi Tiang Jenis Asinkron Sesuai Dengan
Https Media Neliti Com Media Publications 149225 Id None Pdf
Perbaikan Faktor Daya Motor Induksi 3 Fase Menggunakan
Analisa Kerusakan Dan Perbaikan Motor Induksi 3 Fasa
Pdf Pengoperasian Motor Induksi 3 Fasa Hubungan Delta Pada Sistem
Http Kinetik Umm Ac Id Index Php Kinetik Article Download 14 Pdf
Http Eprints Uny Ac Id 62072 1 11506134042 Pdf
Prinsip Kerja Motor Induksi 3 Fasa Find Your Mini Project For
2 Kecepatan Motor Induksi 3 Fase Pabrik Dan Produsen Cina Harga
Cetak Pembalikan Arah Putaran Motor Induksi 3fasa Imroe
Desain Prototipe Motor Induksi 3 Fasa Ums Etd Db
Https Jurnal Usu Ac Id Singuda Ensikom Article Viewfile 8393 5329
Jual Teknik Kendali Motor Induksi Tiga Fasa Original Di Lapak Dunn
Https Encrypted Tbn0 Gstatic Com Images Q Tbn 3aand9gcqdgmmqgfxzon3gye24r2pvwsgnak9q5vwi9mylq92cmqvtobju Usqp Cau
Penentuan Parameter Dan Arus Asut Motor Induksi Tiga Fasa
Motor Induksi 3 Fasa Dan 1 Fasa
Catatannya Didit Prinsip Kerja Motor Induksi 3 Fasa
Pemasangan Pengendali Motor Induksi Tiga Fasa Hubungan Langsung Mc
Doc Starting Motor Induksi 3 Fasa Aji Rizky Hakim Academia Edu
3 Fase Motor Induksi 10hp 7 5kw 3000 Rpm Motor Listrik Buy 10 Hp
Contoh Ke 2 Merancang Mensimulasikan 2 Motor Induksi 3 Fasa Dan








0 Komentar